Встановіть відповідність

За допомогою мишки перетягніть відповідний обєкт на потрібне для нього місце

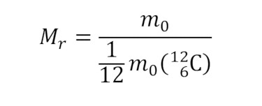
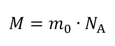
Формула Назва Відповідь
item1

Молярна маса речовини

item2

Число N молекул речовини

item3

Кількість речовини

item4

Відносна молекулярна (відносна атомна) маса